Next: Boundary Conditions
Up: Formulation of the Problem
Previous: Formulation of the Problem
In this section we will formulate the initial-boundary value problem for
considered inviscid-viscous flows. It means that the system of equations
(14) will be completed by some boundary and initial conditions.
Firstly, we rewrite (14) in the so-called
conservative form.
In problems that will be numerically solved we will neglect the heat
sources (i.e. q=0) and the volume forces ( i.e.
). We define
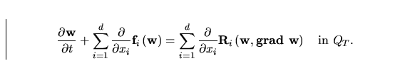
the state vector
and rewrite (14) in the
following way:
|  |
(14) |
Here
The functions
are called the inviscid
Euler fluxes and
are called
the viscous fluxes.
The system (15) gives the conservative form of the complete
Navier-Stokes equations for viscous fluids. In the case of inviscid
fluids
and, hence,
Therefore,
the conservative form of the Euler equations can be written in the form
|  |
(15) |
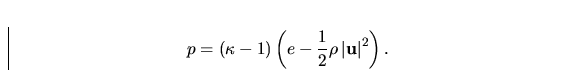
Moreover, the state equations should be added to close the system
(15) or (17). Using (9) we get
|  |
(16) |
Next: Boundary Conditions
Up: Formulation of the Problem
Previous: Formulation of the Problem
Vit Dolejsi
12/17/1998